西西444www大胆高清图片I久久草网I国产综合香蕉五月婷在线I91麻豆福利I91av视频I日韩av一区在线观看

一站式實驗室

整體解決方案服務商

咨詢

電話

851-2569016

13809460779

內頁banner

產品中心

當前位置: 首頁> 產品中心> 香料

聯系我們Contact Us

貴州清鎮瑞日精細化工有限責任公司

手 機:13809460779

座 機:0851-2569016

郵 箱:contcat@eschemical.com

網 址:www.canami.cn

地 址:貴陽市清鎮市干河壩村

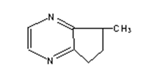
5H-5-甲基-6,7-二氫環戊并吡嗪

來源:貴州清鎮瑞日精細化工有限責任公司 發布時間:2024-06-13 瀏覽:1848次

5H-5-甲基-6,7-二氫環戊并吡嗪

P015

分子式:C8H10N2

分子量:134.178

純度:>99.0%

沸點:78-80℃/10mmHg, 47℃/0.7mmHg

折光率:1.5290

外觀:無色至淡黃色液體。

管理情況: FEMA NO.3306

香氣和性質:具有烘烤食品香氣,如:烤肉、烤面包。

用途:用作香料。

上一篇:環戊酮

電話:13809460779   0851-2569016

郵箱:contact@eschemical.com

地址:貴陽市清鎮市干河壩村

手機網站

手機網站