西西444www大胆高清图片I久久草网I国产综合香蕉五月婷在线I91麻豆福利I91av视频I日韩av一区在线观看

One stop laboratory

Overall solution service provider

電話

contact

phone

851-2569016

13809460779

內頁banner

Product Center

current location: Home> Product Center> Aroma chemical

Contact Us聯系我們

GuiZhou QingZhen Rise Fine Chemicals Co.,Ltd.

mobile:13809460779

phone:0851-2569016

email:contcat@eschemical.com

website:www.canami.cn

address:Ganheba Village, Qingzhen City, Guiyang City

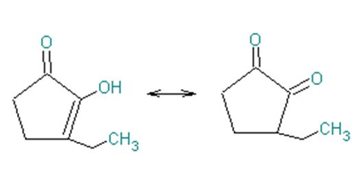
Ethylcyclopentenolone

source:GuiZhou QingZhen Rise Fine Chemicals Co.,Ltd. Release time:2024-06-13 browse:1980

Ethylcyclopentenolone

3-ethyl-2-hydroxy-2-cyclopente-1-one

P003

Molecular formula: C7H10O2

Molecular weight: 126

Purity:>99%

Melting point: 38-40 ℃

Appearance: White crystalline

Management situation: FEMA NO.3152

Aroma and properties: It has caramel and coconut aromas. The taste is sweet and fragrant, with a lingering charm, making it enjoyable and exciting.

Usage: As an edible spice, it can give food an excellent flavor and has the function of enhancing fragrance and sweetness. As a tobacco flavoring. It can improve the spices of tobacco leaves, enhance the aroma and taste of tobacco leaves, enhance the grade of tobacco leaves and the quality of cigarettes.


phone:13809460779   0851-2569016

mailbox:contact@eschemical.com

address:Ganheba Village, Qingzhen City, Guiyang City

Mobile website

Mobile website